Primer on Edges and Feature Points in Images

This page provides a digest of recent research on image feature points, including edge pixels, in both colo(u)r and gray-scale images.
The Image Engineering Index has Primers on a range of topics in Image Engineering, Visual Information Systems, and Space Engineering. It also has links to related research at La Trobe, and to other centres of Image Engineering, world-wide.

Prepared by : H.Cohen@latrobe.edu.au

Classic Edge Detectors: The Sobel

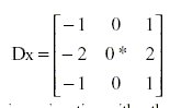
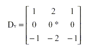
The Sobel edge detector is defined in terms of the two gradient operators (3x3 convolutions)
  and  

A given pixel at (x,y) in the image is determined to be an edge pixel if the edgedness E exceeds a threshold T, where E is defined as the sum of the absolute values of the D_x and D_y values at that pixel location :
If pixel values are normalised to be in the range 0 to 1, then possible values for the threshold T also lie in the range [0,1]
Examples where E has values 0 and 1 for the central pixel in a 3x3 region are given in the following diagram for a binary image.


A curious feature of the Sobel edge is that the value of E does not depend on the pixel value at that location.

Neural-Fuzzy Feature Detectors

Recent research has concerned using neural nets to develop edge detectors, after training on a relatively small set of proto-type edges, in sample images classifiable by classic edge detectors. This work was pioneered by Bezdek et al, who trained a neural net to give the same fuzzy output as a normalised Sobel Operator. However, work by the writer and collaborators has shown that training NN classifiers to crisp values is a more effective variant of Bezdek's scheme.
Lena image Output of NN edge detector trained to duplicate "fuzzy" Sobel edgedness on 256 binary proto-types Output of NN edge detector trained to duplicate "de-fuzzified" Sobel edgedness on 256 binary proto-types.


The Edges of Kosh, Ambassador to Babylon-5
24-bit Kosh Image
The original 24-bit image is available from the Babylon-5 site marked on the image.
Edges on Kosh image as determined by using Sobel operator with cut-off 0.11, applied to normalised [0-1] grayscale version of Kosh. Output of NN edge detector trained on Sobel edgedness thresholded at T =0.11. NN input uses luminance value for each colour pixel.
The advantage of the neural fuzzy edge detector over even the traditional edge detector on which the neural fuzzy form was based is very apparent.

Footnote:
The derivation of this edge detector is detailed in the paper, Harvey A. Cohen, Craig McKinnon and J. You, Neural-Fuzzy Feature Detectors , Proceedings of DICTA- 97, Auckland, N.Z., Dec 10-12, 1997, pp 479-484s, downloadable, to a new window, as    PDF.
Other papers by Harvey A. Cohen on this and related topics in image analysis and engineering are listed with BibTex data and PDF Download URLs in the Bibliography 1989 +

U p to the top of this Web Page